The HIV infected neonate (less than 1 month of age)

B20-B24


DESCRIPTION

An infant < 1 month of age, in whom HIV infection has been confirmed with 2 appropriate tests. For confirmation of HIV infection see Human immunodeficiency virus infections .

MEDICINE TREATMENT

This treatment protocol is meant as a guide, and there is allowance for flexibility after discussion with an expert.

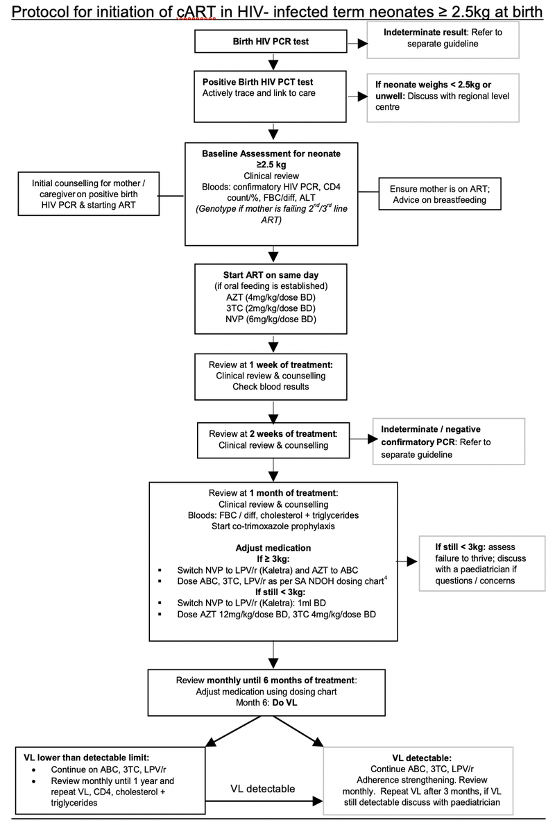
Protocol for Initiation of cART

ARV drug dosing chart:

for children < 28 days of age and weighing ≥ 2.5 kg at birth

Lamivudine (3TC) Zidovudine
(AZT)
Nevirapine
(NVP)
Target
dose
2 mg/kg/dose
TWICE daily (BD)
4 mg/kg/dose
TWICE daily (BD)
6 mg/kg/dose
TWICE daily (BD)
Available
formulation
10 mg/ml 10 mg/ml 10 mg/ml
Weight (kg) Dose in
ml
Dose in
mg
Dose in
ml
Dose in
mg
Dose in
ml
Dose in
mg
≥2.5-<3.0 0.6ml BD 6mg BD 1.2ml BD 12mg BD 1.8ml BD 18mg BD
≥3.0-<3.5 0.7ml BD 7mg BD 1.4ml BD 14mg BD 2.1ml BD 21mg BD
≥3.5-<4.0 0.8ml BD 8mg BD 1.6ml BD 16mg BD 2.4ml BD 24mg BD
≥4.0-<4.5 0.9ml BD 9mg BD 1.8ml BD 18mg BD 2.7ml BD 27mg BD
≥4.5-<5.5 1.0ml BD 10mg BD 2.0ml BD 20mg BD 3.0ml BD 30mg BD
≥5.5-<6.5 1.2ml BD 12mg BD 2.4ml BD 24mg BD 3.6ml BD 36mg BD

Caregivers who will be administering ARV medication to the child must be supplied with a syringe (1ml or 2ml) for each of the 3 ARVs and shown how to prepare and administer the correct dose. If possible, bottles and syringes should be colour coded with stickers and a sticker of the relevant colour used to mark the correct dose on the syringe.

LoEIII [5]